Green Graph Paper Texture March 18, 2019 Post a Comment Abstract green plotting graph grid background vector edit. Find the perfect graph paper background… Read more Green Graph Paper Texture
Oak Tree In Fall Painting March 17, 2019 Post a Comment Oak Leaf Watercolor At Getdrawingscom Free For Personal Use Oak … Read more Oak Tree In Fall Painting
Fabric Paper For Printers March 17, 2019 Post a Comment 10 Sheets A4 Iron On Inkjet Print Heat Transfer Paper For T Shirt … Read more Fabric Paper For Printers
garden city college logo garden city community college logo garden city university college logo Garden City College Logo March 17, 2019 Post a Comment Garden City College In Old Madras Road Bangalore Bangalore … Read more Garden City College Logo
hidden desk in wardrobe Hidden Desk In Wardrobe March 16, 2019 Post a Comment Solid Pine Desk Handcrafted Waxed 4 Door Computer Workstation … Read more Hidden Desk In Wardrobe
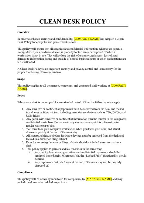
clear desk policy template clear desk policy template gdpr clear desk policy template uk Clear Desk Policy Template March 16, 2019 Post a Comment Desk Recommendations Clean Desk Policy Elegant Clear Desk Policy … Read more Clear Desk Policy Template